33 [TUTORIAL] TRENDLINE IN EXCEL PIVOT CHART with VIDEO PDF PRINTABLE DOWNLOAD ZIP
[TUTORIAL] TRENDLINE IN EXCEL PIVOT CHART with VIDEO PDF PRINTABLE DOWNLOAD ZIP
Halo, thank you for visiting this website to search for trendline in excel pivot chart. I hope the information that appears could be helpful to you

images of excel pivot trendline chart in a Adding a to trendline PivotChart high quality jpeg wallpaper download

images of chart in pivot excel trendline For 2010 Tutorial Multi Beginners #13 Excel Charts Pt.4 high quality jpeg wallpaper download

images of trendline in excel chart pivot Chart Easy Tutorial Excel in Column Excel high quality jpeg wallpaper download

images of chart pivot in excel trendline platte 6 sunga Business Excel Charts â zette high quality jpeg wallpaper download

images of excel chart trendline in pivot in Chart Tutorial Excel Easy Excel Combination high quality jpeg wallpaper download

images of chart pivot excel trendline in PowerPivot: Chart Burndown high quality jpeg wallpaper download

images of trendline chart pivot in excel in Combination Excel Easy Tutorial Chart Excel high quality jpeg wallpaper download

images of in chart pivot excel trendline Excel Course: with Excel COUPON LINK $5 Udemy Excel high quality jpeg wallpaper download

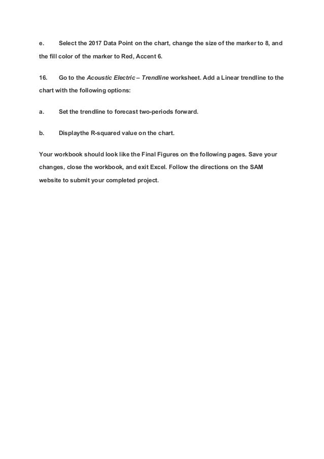
images of excel pivot trendline in chart Excel Project Guitars 2013 SAM 1a Chapter Precision 8: high quality jpeg wallpaper download
Adding a trendline to a PivotChart , Excel 2010 Tutorial For Beginners #13 Charts Pt.4 Multi , Column Chart in Excel Easy Excel Tutorial , Excel Business Charts 6 â platte sunga zette , Combination Chart in Excel Easy Excel Tutorial , PowerPivot: Burndown Chart , Combination Chart in Excel Easy Excel Tutorial , $5 COUPON LINK Excel Udemy Course: Excel with Excel , Excel 2013 Chapter 8: SAM Project 1a Precision Guitars , Using Excel Pivot Table Column Fields in Sales Forecasting , Bar Chart in Excel Easy Excel Tutorial , Line Chart in Excel Easy Excel Tutorial , Pie Chart in Excel EASY Excel Tutorial , Area Chart in ,
Halo, thank you for visiting this website to search for trendline in excel pivot chart. I hope the information that appears could be helpful to you
images of excel pivot trendline chart in a Adding a to trendline PivotChart high quality jpeg wallpaper download

images of chart in pivot excel trendline For 2010 Tutorial Multi Beginners #13 Excel Charts Pt.4 high quality jpeg wallpaper download

images of trendline in excel chart pivot Chart Easy Tutorial Excel in Column Excel high quality jpeg wallpaper download
images of chart pivot in excel trendline platte 6 sunga Business Excel Charts â zette high quality jpeg wallpaper download

images of excel chart trendline in pivot in Chart Tutorial Excel Easy Excel Combination high quality jpeg wallpaper download
images of chart pivot excel trendline in PowerPivot: Chart Burndown high quality jpeg wallpaper download
images of trendline chart pivot in excel in Combination Excel Easy Tutorial Chart Excel high quality jpeg wallpaper download

images of in chart pivot excel trendline Excel Course: with Excel COUPON LINK $5 Udemy Excel high quality jpeg wallpaper download

images of excel pivot trendline in chart Excel Project Guitars 2013 SAM 1a Chapter Precision 8: high quality jpeg wallpaper download
Belum ada Komentar untuk "33 [TUTORIAL] TRENDLINE IN EXCEL PIVOT CHART with VIDEO PDF PRINTABLE DOWNLOAD ZIP"
Posting Komentar